给定一颗树,树中有 n 个结点(编号 1∼n)。 请你找到树的重心,并输出树的重心的结点编号。
重心定义:重心是指树中的一个结点,如果将这个点删除后,剩余各个连通块中点数的最大值最小,那么这个结点被称为树的重心。
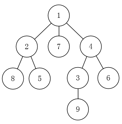
如下图所示的树的重心为1号结点。

第1行读入一个整数n,代表树的结点的数量(1≤n≤105)
接下来n-1行,每行读入两个整数x和y,表示结点x和y之间有一条边(注意:不确定x和y的父子关系)
请输出树的重心的结点编号,如果树有多个重心,请按照编号从小到大依次输出,数字之间用空格隔开。
9 1 2 1 7 2 8 2 5 4 3 1 4 3 9 4 6
1
树